Artículo original
Gil- Abando Lozano G, Muñoz Corcuera M, Medina López- Chicheri P, Vizoso Noval B. Valoración de parámetros relacionados con la ansiedad en primeras visitas y revisiones realizadas en clínica universitaria. Cient. Dent. 2021; 18; 5; 311-320
Valoración de parámetros relacionados con la ansiedad en primeras visitas y revisiones realizadas en clínica universitaria
La ansiedad dental puede considerarse un fenómeno universal con una alta prevalencia a nivel mundial. Esta ansiedad y el dolor dental son las principales causas de urgencias médicas en la consulta odontológica, por lo que su prevención supone una parte esencial para la seguridad del paciente y la calidad general de la atención que este recibe. El objetivo principal del estudio es valorar los niveles de ansiedad y la evolución de los valores de tensión arterial (TA) y frecuencia cardiaca (FC) de un grupo de pacientes durante la primera visita odontológica y las revisiones rutinarias. Además, se describe y compara la evolución de la TA y la FC en pacientes normo e hipertensos controlados, y el posible efecto del sexo y edad del paciente sobre estos parámetros.
Se llevó a cabo un estudio observacional analítico prospectivo sobre pacientes que acudieron para realizar primeras visitas y revisiones a la Clínica Universitaria de la Universidad Europea de Madrid entre octubre 2020 y febrero 2021. Los pacientes que cumplieron los criterios de inclusión rellenaron el Test de Corah y fueron sometidos a 4 mediciones diferentes de TA y FC.
Se realizaron 48 primeras visitas; el 35,42% eran hombres y el 64,58% mujeres, con una edad de 44,79 ± 16,49 años. La puntuación del test de Corah tiende a ser superior en los pacientes hipertensos en pacientes de primera visita, y la edad es significativamente mayor en hipertensos. En el conjunto de pacientes de primeras visitas, la TAS y el pulso variaron a lo largo del procedimiento, siendo inferiores al final. No se observó esta diferencia en cuanto a la TAD.
Se analizaron 32 revisiones, 17 fueron hombres (53,13%) y 15 mujeres (46,88%), con una edad media de 46,78 Se analizaron 32 revisiones, 17 fueron hombres (53,13%) y 15 mujeres (46,88%), con una edad media de 46,78 años (DE±16,91 años). La puntuación del test de Corah fue similar en los pacientes hipertensos y normotensos, no encontrándose diferencias estadísticamente significativas. En el conjunto de pacientes sometidos a revisiones sólo se observó diferencia en la evolución del pulso, pero no en la TA.
La alteración de los niveles de TA y FC en pacientes hipertensos controlados es relevante a nivel clínico en primeras visitas y no en revisiones. El nivel de ansiedad es superior cuando el paciente no conoce al clínico.
Dental anxiety can be considered a universal phenomenon with a high prevalence worldwide. Dental anxiety and dental pain are the main causes of medical emergencies in the dental office, so their prevention is an essential part of patient safety and the overall quality of the care received. The main objective of the study is to evaluate the levels of anxiety and the evolution of blood pressure (BP) and heart rate (HR) values in a group of patients during the first dental visit and routine check-ups. In addition, we describe and compare the evolution of BP and HR in controlled normotensive and hypertensive patients, and the possible effect of the patient’s sex and age on these parameters.
A prospective analytical observational study was carried out on patients who attended for first visits and check-ups at the University Clinic of the European University of Madrid between October 2020 and February 2021. Patients who met the inclusion criteria filled out the Corah Test and underwent 4 different measurements of BP and HR.
Forty-eight first visits were performed; 35.42% were men and 64.58% women, with an age of 44.79 ± 16.49 years. The Corah test score tended to be higher in hypertensive patients in first visit patients, and age was significantly higher in hypertensives. In the set of firstvisit patients, the ASR and pulse varied throughout the procedure, being lower at the end. No such difference was observed for DBT.
Thirty-two revisions were analyzed, 17 were men (53.13%) and 15 women (46.88%), with a mean age of 46.78 years (SD±16.91 years). The Corah test score was similar in hypertensive and normotensive patients, and no statistically significant differences were found. In the group of patients who underwent revisions, differences were only observed in the evolution of the pulse, but not in BP.
The alteration of BP and HR levels in controlled hypertensive patients is clinically relevant at first visits and not at checkups. The level of anxiety is higher when the patient does not know the clinician.
La hipertensión arterial (HTA) es un factor de riesgo cardiovascular reconocido, responsable de una morbimortalidad cardiovascular elevada1 . Para lograr una mejor prevención, diagnóstico, tratamiento y control de la HTA, se han desarrollado desde hace años campañas y programas de divulgación científica y ciudadana y publicado con regularidad guías o normas de actuación internacionales para actualizar y regular las metodologías diagnósticas y terapéuticas2 .
La HTA se define como el nivel de presión arterial (PA) en el cual los beneficios del tratamiento (ya sean intervenciones en el estilo de vida o tratamiento farmacológico) sobrepasan claramente sus riesgos según los resultados de estudios clínicos3 . La definición de HTA es arbitraria y en las clasificaciones de la tensión arterial (TA) para adultos de más de 18 años el valor de TA normal cada vez ha sido menor. Actualmente el informe de la Clasificación del Joint National Committe VI3 y la Organización Mundial de la Salud (OMS), define como HTA las cifras de PA sistólica ≥ 140 mmHg y de PA diastólica ≥ 90 mmHg en pacientes que no estén tomando medicación4 .
Según la OMS, la HTA constituye el primer riesgo de muerte en la mujer y el segundo para los hombres en el mundo occidental. Se estima que el 50% de las enfermedades cardiovasculares (ECV) se puede atribuir a la elevación de la PA, siendo el principal riesgo de ictus e insuficiencia cardiaca5 considerando que el 90% de las personas normotensas a los 55 años serán hipertensas antes de su fallecimiento. La mayoría de las complicaciones relacionadas con la HTA son prevenibles, pero la baja tasa de información y alto desconocimiento y control de la HTA por parte de profesionales y pacientes hacen más dramática la situación actual en salud pública6 . Se estima que la HTA representa el 6% de todos los fallecimientos en el mundo y es el factor de riesgo de ECV más tratable y evitable. Durante las últimas décadas el tratamiento de la HTA ha crecido de manera exponencial, contribuyendo al descenso sobre la incidencia de mortalidad debido a infarto y enfermedad coronaria7 .
La HTA responde a la elevación mantenida de la PA por encima de los límites normales. Sin embargo, ya que el diagnóstico de un individuo como hipertenso se basa en clasificaciones que determinan los límites entre normalidad y enfermedad de manera arbitraria, es imprescindible la evaluación individualizada en función del perfil de riesgo cardiovascular de cada paciente; sólo entonces será adecuado establecer la estrategia de control y tratamiento6 .
Cuando no existe una justificación o factores causantes identificables para esos valores elevados de TA, hablamos de HTA esencial o primaria8 . Esta representa entorno al 90-95% de todos los casos. La HTA secundaria, para la cual si encontramos una causa que la desencadene, afecta al 5-10% de los adultos estadounidenses quienes son automáticamente diagnosticados de HTA9 . Existen trastornos asociados a la HTA secundaria como enfermedades vasculares (coartación aórtica), enfermedades sistémicas (síndrome de Cushing, apnea del sueño) o disfunción de la médula suprarrenal, entre otras. Otros factores que contribuyen a la HTA incluyen el consumo de drogas, abuso de alcohol, píldora anticonceptiva y alteración crónica del riñón10.
Se estima que el 17,3% de los 80 millones de adultos hipertensos en Estados Unidos en el 2013 no fueron diagnosticados. Se demostró que la HTA no diagnosticada acortaba la esperanza de vida del sujeto en un rango de 10 a 20 años11,12. El número de personas hipertensas no diagnosticadas y el futuro crecimiento de esta patología convierte la HTA en un problema de salud pública. Es importante que los profesionales de la odontología estén al día con los protocolos de tratamiento y prevención a la hora de afrontar un tratamiento. A menudo se pasa por alto el papel del odontólogo a la hora de diagnosticar tensiones elevadas. Tarde o temprano toda la población pasa por sus manos puesto que el dolor o la infección dental afectan a todos los ciudadanos. No hay que desperdiciar esta gran oportunidad para que estos profesionales diagnostiquen la HTA y posteriormente deriven al paciente a su médico. Este simple gesto, mejora los datos de mortalidad y morbilidad causando un gran impacto en el control de la patología8 .
La ansiedad dental, respuesta adaptativa a estímulos externos que el paciente no logra controlar, puede considerarse un fenómeno universal con una alta prevalencia a nivel mundial. Esta ansiedad y el dolor dental son las principales causas de urgencias médicas en la consulta odontológica, por lo que su prevención supone una parte esencial para la seguridad del paciente y la calidad general de la atención que este recibe13.
Para valorar la ansiedad de forma objetiva existe el test de Corah14 que consiste en un sencillo cuestionario formado por 4 preguntas con 5 posibles respuestas (A, B, C, D, E). Cada una de ellas tiene asignado un valor numérico (1, 2, 3, 4, 5). El paciente lo rellena nada más llegar a la consulta y a partir de ahí el profesional puede hacerse una idea del nivel de ansiedad al que se ve sometido el paciente por el simple hecho de asistir a consulta.
Como hipótesis, podemos considerar que existe relación entre los niveles de ansiedad y la evolución de los valores de TA en pacientes sometidos a primeras visitas y revisiones. No es extraño que los pacientes se pongan nerviosos antes de entrar en la consulta dental, especialmente si es la primera vez y no conocen al profesional que les va a tratar. En la mayor parte de casos esta sensación de agobio o ansiedad va disminuyendo a medida que el paciente conoce al odontólogo y genera un vínculo con el mismo.
El objetivo principal del estudio es valorar los niveles de ansiedad y la evolución de los valores de TA y frecuencia cardiaca (FC) de un grupo de pacientes durante la primera visita odontológica y las revisiones rutinarias. Además, se describe y compara la evolución de la TA y la FC en pacientes normo e hipertensos controlados, y el posible efecto del sexo y edad del paciente sobre estos parámetros.
Se llevó a cabo un estudio observacional analítico prospectivo sobre pacientes que acudieron para realizar primeras visitas y revisiones a la Clínica Universitaria de la Universidad Europea de Madrid entre octubre 2020 y febrero 2021.
El protocolo de investigación fue aprobado por el comité de ética de la Universidad Europea de Madrid, con el código CIPI 20/167, y el estudio se llevó a cabo siguiendo los principios de la declaración de Helsinki.
La muestra estuvo constituida por pacientes mayores de edad (18 – 84 años) que acudieron para primeras visitas y revisiones a la Clínica Universitaria durante este periodo de tiempo y que, tras leer la hoja de información al paciente voluntariamente accedieron a participar en el estudio y firmaron el consentimiento informado.
Se incluyeron pacientes mayores de 18 años, ASA I y ASA II (ASA I: Paciente sano, sin enfermedad orgánica, bioquímica o psiquiátrica. ASA II: Paciente con enfermedad sistémica moderada, por ejemplo, asma moderada o HTA bien controlada. Sin impacto en la actividad diaria. Poca probabilidad de impacto por cirugía o anestesia), participación voluntaria en el estudio y pacientes que firmaron el consentimiento informado.
Se excluyeron los pacientes que tras la primera toma de TA superasen los valores de 140 mm Hg de TA sistólica (TAS) y/o 90 mm Hg de TA diastólica (TAD). Se incluyeron pacientes diagnosticados y tratados con HTA controlada. Por el contrario, se excluyeron si en ese momento su TA excedió de 14/9 considerándose pacientes descontrolados.
Se estimó necesario incluir un mínimo de 35 pacientes para detectar, con un nivel de confianza del 95% y un poder estadístico del 80% en un contraste bilateral, una diferencia en la TA igual o superior a 5 mm Hg asumiendo una desviación estándar en torno a 10 mm Hg15.
La inclusión de los pacientes se llevó a cabo de forma secuencial, a medida que acudían a la Clínica Universitaria para someterse a revisiones y primeras visitas. Las variables que fueron recogidas se muestran en la Tabla 1.

Se comenzó pasando al paciente un cuestionario de valoración de la ansiedad (Test de Corah). A continuación, se procedió con la medición de la TA y FC por medio de un tensiómetro OMRON M6 (OMRON Healthcare JapónKioto) previamente calibrado. Esta medición, al igual que las demás, las realizó el mismo operador.
Se realizaron 4 mediciones de la TAS, TAD y FC: al llegar el paciente al gabinete, 3 minutos antes de comenzar, 3 minutos tras haber comenzado y finalizado el procedimiento.
En lo que respecta a las primeras visitas y revisiones, se llevaron a cabo de la manera establecida en los protocolos de la Clínica Universitaria de la Universidad Europea de Madrid. Dichas citas no fueron consecutivas, cada paciente fue registrado una única vez.
Análisis de los datos
Se realizó un estudio descriptivo mediante la utilización de la media ± desviación estándar o la mediana [rango intercuartílico] según la normalidad de los valores recogidos para las variables respuesta. Se emplearon pruebas de T de Student o U de Mann Whitney (dependiendo de la normalidad de los valores) para comparación de los valores entre pacientes normotensos e hipertensos, y un análisis de ANOVA de medidas repetidas o análisis de Friedman (dependiendo de la normalidad de los valores) para la comparación entre todas las medidas de TA en el tiempo. Si se encontró significación en este análisis, se empleó el análisis por pares con test de Wilcoxon para describir entre qué dos momentos la TA era diferente.
El p-valor para considerar que existen diferencias significativas en las pruebas estadísticas se establecerá en 0,05. El análisis se realizó mediante el software especializado Stata IC v.14 (StataCorp).
a. Pacientes de primera visita
Se llevaron a cabo 48 primeras visitas. De los pacientes examinados, el 35,42% eran hombres y el 64,58% mujeres, con una edad de 44,79 ± 16,49 años. Las edades fueron comprendidas entre 18 y 73 años. Del total de pacientes, el 22,92% fueron hipertensos (n=11) y el 77,08% (n= 37) normotensos. La proporción de mujeres fue similar en normotensos e hipertensos. En cuanto a la edad se obtuvieron valores significativamente superiores en hipertensos respecto a los normotensos (42±15,79 años vs 54,18±15,94 años, normo vs. hipertensos, respectivamente; p=0,030).
En la Tabla 2 se resumen los valores promedios o medianas de las variables de investigación para los pacientes de 1ª visita en su conjunto y para pacientes hipertensos y normotensos con su respectiva comparación.

La puntuación del test de Corah tiende a ser superior en los pacientes hipertensos en pacientes de primera visita, aunque la diferencia no es estadísticamente significativa. La TAS a la llegada fue superior en hipertensos (p=0,008), 3 minutos antes (p=0,007), 3 minutos después (p=0,023) y al finalizar (p=0,012) respecto a los pacientes normotensos siendo todas las diferencias estadísticamente significativas.
En cuanto a la TAD a la llegada, 3 minutos antes, 3 minutos después y final, no existieron diferencias estadísticamente significativas entre normotensos e hipertensos. Lo mismo ocurrió con el pulso a la llegada, 3 minutos antes de comenzar y 3 minutos después. Sin embargo, al finalizar el procedimiento el pulso fue superior en normotensos que, en hipertensos, siendo la diferencia estadísticamente significativa (p=0,036).
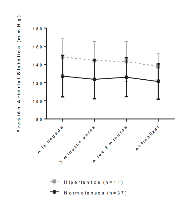
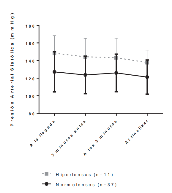
En cuanto a la evolución de la TAS, un ANOVA de medidas repetidas con una corrección de Greenhouse-Geisser determinó que la TAS difería de forma estadísticamente significativa entre los puntos temporales (F (3, 141) =4.28; p=0,017). Las pruebas post hoc utilizando la corrección de Bonferroni revelaron que la TAS es inferior al finalizar el procedimiento que a la llegada.
Al analizar por separado los pacientes hipertensos y normotensos se observó que, en pacientes normotensos, la TAS no cambiaba de forma significativa entre los puntos temporales (p=0,108). Sin embargo, en pacientes con HTA, la TAS difería de forma estadísticamente significativa entre los puntos temporales (p=0,041). Las pruebas post hoc revelaron que la TAS era inferior al finalizar el procedimiento que a la llegada (Figura 1).

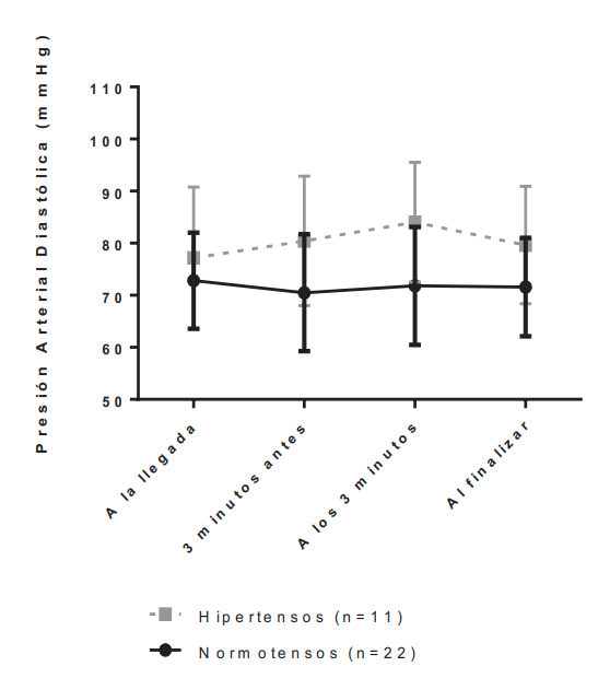
Al analizar la evolución de la TAD mediante la misma prueba, se determinó que la TAD no cambió de forma significativa entre los puntos temporales (F (3, 141) =2,68; p=0,066). En pacientes normotensos, la TAD no cambió de forma significativa entre los puntos temporales (F (3, 108) =2,41; p=0,090) y tampoco, en pacientes hipertensos (p=0,180) (Figura 2).

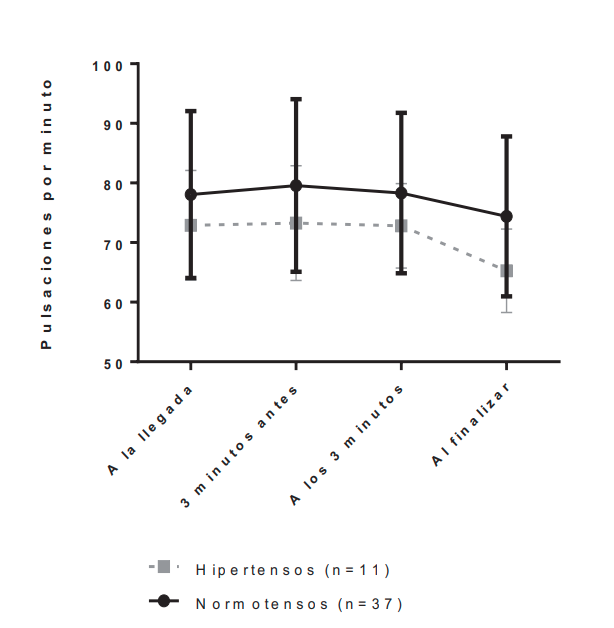
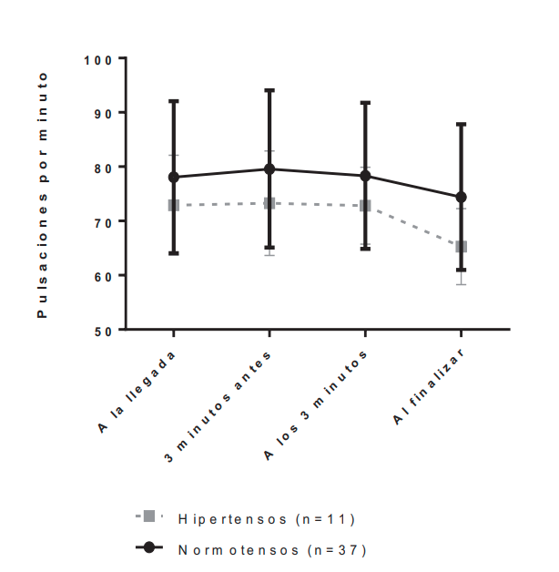
La FC, por el contrario, sí difería de forma estadísticamente significativa entre los puntos temporales (F (3, 141) =14,68; p≤0,001). Las pruebas post hoc utilizando la corrección de Bonferroni revelaron que el pulso es inferior al finalizar el procedimiento que, a la llegada, y a los 3 minutos antes de empezar el procedimiento, que a los 3 minutos de iniciar el procedimiento. Lo mismo ocurrió al analizar por separado pacientes hipertensos y normotensos, siendo inferior el pulso al finalizar el procedimiento que, a la llegada, a los 3 minutos antes de empezar el procedimiento y a los 3 minutos de iniciar el procedimiento (Figura 3).

b. Pacientes de revisiones
Se analizaron 32 tratamientos de revisión. De ellos, 17 fueron hombres (53,13%) y 15 mujeres (46,88%), con una edad media de 46,78 años (DE±16,91 años). Del total de pacientes, 21 (65,63%) eran normotensos y 11 (34,38%) eran hipertensos. La proporción de mujeres fue significativamente mayor en normotensos que en hipertensos (p=0,028) siendo la edad, significativamente superior en hipertensos que en normotensos (p=0,001).
En la Tabla 3 se resumen los valores promedios o medianas de las variables de investigación para el conjunto de pacientes de revisión y para pacientes hipertensos y normotensos con su respectiva comparación.
La puntuación del test de Corah fue similar en los pacientes hipertensos y normotensos, no encontrándose diferencias estadísticamente significativas.
La TAS y TAD a la llegada fueron significativamente superiores en hipertensos respecto a los normotensos (p<0,001 y p=0,002 respectivamente). Lo mismo ocurrió con los valores de TAS y TAD en todos los puntos temporales, 3 minutos antes del procedimiento (p<0,01 y p=0,028), 3 minutos después de comenzar (p<0,001 y p=0,007) y al finalizar el procedimiento (p<0,01 y p=0,040).
En los valores de FC a la llegada, 3 minutos antes, 3 minutos después y al finalizar, no existieron diferencias significativas entre normotensos e hipertensos.
En cuanto a la evolución de la TAS y TAD, un ANOVA de medidas repetidas con una corrección de GreenhouseGeisser determinó que la TAS y la TAD no cambiaron de forma significativa entre los puntos temporales, ni en el conjunto de los pacientes, ni cuando se analizaron por separado pacientes hipertensos y normotensos (Figuras 4 y 5).


Al hacer el mismo análisis para la evolución del pulso, se observó que el pulso difería de forma estadísticamente significativa entre los puntos temporales (F (3, 93) =7,30; p<=0,001). Las pruebas post hoc utilizando la corrección de Bonferroni revelaron que el pulso era inferior al finalizar el procedimiento que a la llegada y a los 3 minutos antes de empezar el procedimiento. Al analizar por separado pacientes hipertensos y normotensos, se observó que en pacientes normotensos el pulso no difería entre los distintos puntos temporales; pero sí lo hacía en pacientes hipertensos (p=0,017), siendo inferior al finalizar (Figura 6).

En este estudio se ha encontrado una proporción de pacientes hipertensos del 22,92% en pacientes de primera visita y del 34,38% en pacientes de revisión. Los datos son similares a los reportados por Blankson y cols.16 que realizaron un estudio sobre un total de 175 pacientes. En su muestra, el 43,4% eran hombres y el 56,6% mujeres de edades comprendidas entre 18 y 86 años con una edad media de 40 años concluyendo que existía una prevalencia de HTA del 31,4%. En nuestro caso, la edad media de la muestra fue similar y también se incluyó una mayoría de mujeres.
En este estudio, hemos visto diferencias significativas en la evolución de la TA y de la FC entre normotensos e hipertensos, como se muestra en las Figuras 1-6. En la literatura, no se han encontrado estudios con características similares a este, en el que se valoró la TA y la FC en pacientes que acudieron para primeras visitas y revisiones en una clínica universitaria. Sí se han revisado estudios que realizaron valoraciones de la TA y FC en pacientes sometidos a intervenciones con anestesia local. En este marco de estudios sobre tratamientos dentales con anestesia, Nicolosi y cols.17 compararon valores de TA y FC en pacientes normotensos e hipertensos durante tratamientos con anestesia local comprobando que el grupo de pacientes normotensos era significativamente más joven que el hipertenso (p<0,001), igual que ocurrió en la muestra del presente estudio. Cuando incluyeron la edad como covariable no hubo diferencias significativas entre grupos.
En este trabajo, se utilizó el test de Corah para evaluar la ansiedad previa al tratamiento, observando que, en los pacientes de primera visita, la puntuación del test tendía a ser superior en pacientes hipertensos. Ferreira Gaona y cols.18 observaron como en un grupo de 297 pacientes que acudieron a clínicas dentales privadas, las preguntas del test de Corah exhibieron como resultado un bajo número de pacientes con ansiedad extrema. En su caso la inyección de anestésico local previa al tratamiento fue el que generó mayor ansiedad considerando los niveles de leve a extremo18. En los resultados de este estudio, a pesar de no realizar intervenciones con anestesia, hay pacientes que presentan niveles de ansiedad altos y, en el caso de pacientes hipertensos se debe controlar esta ansiedad para reducir el riesgo de aparición de complicaciones en el gabinete. Mento y cols.19 también llevaron a cabo un estudio descriptivo en el que se utilizó una muestra de 503 pacientes de entre 15 y 70 años, evidenciando que el 22,46% de los pacientes del estudio obtuvieron una puntuación de nivel de ansiedad elevado en el test de Corah (entre 13 y 14 puntos). Los dos estudios comentados fueron realizados en clínicas privadas, mientras que este se llevó a cabo en una clínica universitaria. Seguramente el perfil de pacientes que acuden a las clínicas universitarias unido a que los tratamientos son realizados por estudiantes tiene un efecto sobre los niveles de ansiedad de los pacientes, que podría ser más elevada aumentando el riesgo de complicaciones en pacientes hipertensos.
En el presente estudio, se observó como en pacientes con HTA sometidos a primeras visitas, la TAS difería de forma estadísticamente significativa entre los puntos temporales, siendo inferior al finalizar el procedimiento. Núñez Mendieta y cols.20 observaron que en pacientes masculinos el valor medio más elevado de la TAS (121,5 mmHg) se daba a los 5 minutos de haber administrado el anestésico local previamente a la realización de exodoncias. En cambio, en el sexo femenino el valor medio más elevado de la TAS fue de 118 mmHg y correspondió al periodo inmediatamente posterior a la exodoncia. No observaron diferencias significativas en las medias de los valores de la TAD al comparar los distintos puntos temporales en el sexo masculino y femenino, lo que concuerda con los resultados encontrados en este estudio.
De un modo similar al encontrado en este trabajo, Agani y cols.21 llevaron a cabo un estudio sobre cambios hemodinámicos durante la extracción dental en pacientes normotensos e hipertensos registrando diferencias significativas en la TAS y TAD antes, durante y después de una extracción dental en pacientes normotensos e hipertensos (p<0,0001), independientemente del anestésico utilizado. En otro estudio similar realizado sobre pacientes a los que se les realizaron extracciones dentarias, Abu-Mostafa y cols.22 observaron que la media de la TAS sufrió una elevación significativa 3 minutos después de la administración del anestésico, y la TAD disminuyó 3 minutos después de la anestesia. También encontraron que el pulso sufría una elevación significativa a los 3 minutos de administración del anestésico en normotensos e hipertensos y que este disminuía 3 minutos después de la extracción en ambos grupos 22. En esta misma línea, Bader y cols.23 concluyeron que los pacientes hipertensos sometidos a una extracción dental sufrían una ligera elevación de la TAS y del pulso asociados al uso de anestésico en presencia de epinefrina.
Abu-Mostafa y cols.22,24 en otro estudio realizado sobre pacientes sometidos a extracciones dentales, observaron que la media de la TAS se elevó después de la anestesia local, posteriormente disminuyó una vez realizada la extracción. La TAD en los pacientes anestesiados con epinefrina y felipresina disminuyó tras la extracción dental y el pulso se elevó tras la extracción tanto en pacientes normotensos como hipertensos. En nuestro trabajo, por el contrario, el pulso fue inferior al finalizar el procedimiento que, a la llegada, a los 3 minutos antes de empezar el procedimiento y a los 3 minutos de iniciar el procedimiento, en pacientes sometidos a primeras visitas y a revisiones. Agani y cols.21 sin embargo, no encontraron diferencias significativas en los valores de pulso antes, durante y después de la extracción dentaria entre grupos de pacientes normo e hipertensos, al margen del anestésico utilizado.
Si se evalúan otro tipo de pacientes con patologías concomitantes, Kubota y cols.25 llevaron a cabo un estudio que comparó la respuesta cardiovascular entre pacientes bajo tratamiento con warfarina y pacientes hipertensos sin tratamiento con warfarina durante extracciones dentales. La TAS y TAD previas a la anestesia fueron superiores en pacientes sin tratamiento de warfarina. La TAD mayor se registró durante la extracción y sutura en pacientes con warfarina pautada.
Hemos de tener en cuenta que las visitas al dentista suponen un momento desagradable para los pacientes. Debemos monitorizar la TA y FC de estos ya que, especialmente los pacientes hipertensos, pueden llegar a tener elevaciones importantes que podrían llegar a suponer un riesgo para la salud. Por ello, es importante protocolizar los registros tensionales en las consultas dentales y concienciar a los profesionales de la necesidad de comunicar al médico de cabecera cualquier sospecha de HTA no controlada o tratada. Muzyka y cols.26 coincidieron en afirmar que los profesionales dentales juegan un papel importante en la salud general. Los odontólogos deberían de poder reconocer los factores de riesgo asociados con la HTA, asesorar a los pacientes en las pautas a seguir o derivarles al médico de cabecera cuando consideren oportuno.
Además, la TA puede variar según la hora del día y según la situación del paciente, por lo que se recomienda tomarla siempre a la misma hora y en reposo. Kawabe y cols.27 encontraron que no había diferencias significativas entre la TAS tomada en la clínica dental o en casa en el caso de los pacientes normotensos. Ocurrió lo contrario en pacientes hipertensos, lo cual tiene una relevancia a nivel clínico en cuanto al manejo de este tipo de pacientes en la clínica dental, puesto que los valores de TA pueden sufrir un incremento y dar lugar a complicaciones. En ninguno de los grupos se encontraron diferencias significativas entre registros de mañana o de tarde en cuanto a la TAS, pero sí se encontraron diferencias estadísticamente significativas en la TAD, lo que apoya la recomendación de citar a los pacientes hipertensos en horario de mañana.
En pacientes hipertensos y especialmente en los que obtienen puntuaciones elevadas en el test de Corah lo ideal será dar citas cortas, preferiblemente por la mañana explicando previamente el tratamiento y procurar mantenerles calmados. Es importante detectar la ansiedad alta desde la primera visita del paciente, para poder aplicar técnicas de control de ansiedad antes de la realización de procedimientos asociados a niveles de ansiedad mayores como la aplicación de anestesia local o los procedimientos quirúrgicos.
Se pueden valorar diferentes técnicas de control de ansiedad, como la musicoterapia, apoyo psicológico en la consulta o incluso la sedación. Son herramientas que puedan facilitar las visitas al dentista de ciertos pacientes5,6,11. La musicoterapia es una opción aunque Cuesta y cols.28 no obtuvieron los resultados deseados. Llevaron a cabo un estudio en el cual monitorizaron los cambios de temperatura palmar, utilizándola como indicador validado para evaluar el flujo sanguíneo y la respuesta ante el estrés mediante termómetro eléctrico. Probaron la musicoterapia como método efectivo para disminuir la ansiedad. Evaluaron un grupo de 18 gestantes. El grupo A se encontraba en un ambiente no controlado (con ruido) y sin música. Durante la colocación de monitores, dique de goma y anestesia se registró una elevación de la temperatura promedio. En el grupo B con ambiente no controlado y con música se encontró que a la colocación de monitores la temperatura promedio también se elevó, no encontrando diferencias significativas entre ambos grupos.
Kakodkar y cols.29 llevaron a cabo un estudio sobre 28 dividiéndolos en grupo de estudio y control. La puntuación media de ansiedad al inicio del estudio y del control fue de 27,5+- 8,93 y 25 +-11,9 respectivamente sin diferencias significativas. Previo a la extracción el grupo de estudio llevó a cabo durante 10 minutos unos ejercicios de yoga que buscaban inducir la relajación del sujeto. Durante la extracción el grupo control obtuvo una puntuación de 63 +- 16,10 que fue estadísticamente superior que la del grupo estudio (p<0,05). En el grupo estudio, una vez realizada la extracción, se observaron diferencias significativas con relación a la puntuación pre-extracción (p<0,05). Los pacientes estaban más relajados. Mientras que en el grupo control no fue así (p>0,05).
En futuras investigaciones sobre este tema, sería interesante realizar un diseño similar con un tamaño muestral superior para así poder obtener resultados con mayor relevancia a nivel clínico; así como incluir otro tipo de procedimientos dentales con y sin anestesia para la valoración de los cambios hemodinámicos en los pacientes hipertensos y normotensos. De esta manera podríamos establecer diferencias, si es que las hubiese, entre los diferentes tratamientos que se realizan en la consulta dental y como estos afectan a nuestros pacientes. También sería interesante realizar investigaciones que valorasen la evolución de la ansiedad y TA en pacientes desde la primera visita y a lo largo del tiempo en las sucesivas visitas al odontólogo, para monitorizar los cambios y la influencia de las técnicas de control de ansiedad.
Anderson KM, Wilson PWF, Odell PM, Kannel WB. An updated coronary risk profile. A statement for health professionals. Circulation. 1991;83(1):356–62.
Chalmers J. 1999 World Health Organization-International Society of Hypertension guidelines for the management of hypertension. Clin Exp Hypertens. 1999;21(5–6):1009–60.
Williams B, Mancia G, Spiering W, Rosei EA, Azizi M, Burnier M, y cols. Guía ESC/ESH 2018 sobre el diagnóstico y tratamiento de la hipertensión arterial. Vol. 39, European Heart Journal. 2018. 3021–3104 p.
Sheps SG, Roccella EJ. Reflections on the sixth report of the joint national committee on prevention, detection, evaluation, and treatment of high blood pressure. Curr Hypertens Rep. 1999;1(4):342–5.
Medrano MJ, Pastor-Barriuso R, Boix R, Barrio L, Damián J. Coronary disease risk attributable to cardiovascular risk factors in the spanish population. 2007;60(12).
Andaluza S. Manual de hipertensión arterial en la práctica clínica de Atención Primaria. 2006;1–128. Available from: http://www.samfyc.es/pdf/ GdTCardioHTA/20091.pdf
Wolf-Maier K, Cooper RS, Kramer H, Banegas JR, Giampaoli S, Joffres MR, y cols. Hypertension treatment and control in five european countries, Canada, and the United States. Hypertension. 2004;43(1):10–7.
Southerland JH, Gill DG, Gangula PR, Halpern LR, Cardona CY, Mouton CP. Dental management in patients with hypertension: Challenges and solutions. Clin Cosmet Investig Dent. 2016;8:111– 20.
Hogan J, Radhakrishnan J. The assessment and importance of hypertension in the dental setting. Dent Clin North Am [Internet]. 2012;56(4):731– 45. Available from: http://dx.doi. org/10.1016/j.cden.2012.07.003
Holm SW, Cunningham LL, Bensadoun E, Madsen MJ. Hypertension: Classification, pathophysiology, and management during outpatient sedation and local anesthesia. J Oral Maxillofac Surg. 2006;64(1):111– 21.
Popescu SM, Scrieciu M, Mercuţ V, Ţuculina M, Dascălu I. Hypertensive Patients and Their Management in Dentistry. ISRN Hypertens. 2013;2013:1– 8.
Becker DE. Preoperative medical evaluation: part 1: general principles and cardiovascular considerations. Anesth Prog. 2009;56(3):92–103.
Facco E, Zanette G. The odyssey of dental anxiety: From prehistory to the present. A narrative review. Front Psychol. 2017;8(JUL):1–15.
Corah N. Escala de ansiedad dental de Corah modificada (MDAS). 1934;1–3. Available from: http://www.sedatium.com/ pdf/escala-ansiedad.pdf
Mucci N, Giorgi G, Ceratti SDP, FizPérez J, Mucci F, Arcangeli G. Anxiety, stress-related factors, and blood pressure in young adults. Front Psychol. 2016;7(October):1–10.
Blankson PK, Kwamin F, Asibey A. Screening at the dental office: An opportunity for bridging the gap in the early diagnosis of hypertension and diabetes in Ghana. Ann Afr Med. 2020;19(1):40–6.
Nicolosi L, Lewin P, Winter G, Medina F, Carballo J, Martinez C, y cols. Acta odontologica latinoamericana: international journal of applied and basic dental research ; official journal of the Argentine Division of the International Association for Dental Research. Acta Odontológica Latinoam [Internet]. 2005;25(3):318–23. Available from: http://www.scielo.org.ar/scielo. php?script=sci_arttext&pid=S1852- 48342012000300011&lng=en&tlng=en
Ferreira-Gaona MI, Díaz-Reissner CV, Pérez-Bejarano NM, Cueto-González NC, Leggio-González TG, CardozoLovera LB, y cols. Nivel de ansiedad de los pacientes antes de ingresar a la consulta odontológica. Rev Ciencias la Salud. 2018;16(3):478.
Mento C, Gitto L, Liotta M, Muscatello MRA, Bruno A, Settineri S. Dental anxiety in relation to aggressive characteristics of patients. Int J Psychol Res. 2014;7(2):29– 37.
Núñez Mendieta HA, Di Tore Aquino R, Mico GA, Pratt Giosa WP, Pratt Giosa JC, Keim Meden LV. Variabilidad de la presión arterial en pacientes normotensos sometidos a cirugía bucal ambulatoria. Rev Fac Ciencias la Salud UDES. 2015;2(2):125.
Agani Z, Benedetti A, Krasniqi V, Ahmedi J, Sejfija Z, Loxha M, et al. Cortisol Level and Hemodynamic Changes During Tooth Extraction at Hypertensive and Normotensive Patients. Med Arch [Internet]. 2015;69(2):117. Available from: http://www.scopemed.org/fulltextpdf. php?mno=184148
Abu-Mostafa N, Al-Showaikhat F, AlShubbar F, Al-Zawad K, Al-Banawi F. Hemodynamic changes following injection of local anesthetics with different concentrations of epinephrine during simple tooth extraction: A prospective randomized clinical trial. J Clin Exp Dent. 2015;7(4):e471–6.
Bader JD, Bonito AJ, Shugars DA. A systematic review of cardiovascular effects of epinephrine on hypertensive dental patients. Oral Surg Oral Med Oral Pathol Oral Radiol Endod. 2002;93(6):647–53.
Abu-Mostafa N, Aldawssary A, Assari A, Alnujaidy S, Almutlaq A. A prospective randomized clinical trial compared the effect of various types of local anesthetics cartridges on hypertensive patients during dental extraction. J Clin Exp Dent. 2015;7(1):e84–8.
Kubota K, Yamaga E, Ueda K, Inokoshi M, Minakuchi S. Comparison of cardiovascular response between patients on warfarin and hypertensive patients not on warfarin during dental extraction. Clin Oral Investig. 2021;25(4):2141–50.
Muzyka BC, Glick M. The hypertensive dental patient. J Am Dent Assoc [Internet]. 1997;128(8):1109–20. Available from: http://dx.doi.org/10.14219/jada. archive.1997.0368
Kawabe H, Saito I, Saruta T. Status of home blood pressure measured in morning and evening: Evaluation in normotensives and hypertensives in Japanese urban population. Hypertens Res. 2005;28(6):491–8.
Mexicana D. Efectos de la musicoterapia sobre la ansiedad generada durante la atención dental, en las mujeres embarazadas en el Servicio de Estomatología del Instituto Nacional de Perinatología. Rev la Asoc Dent Mex. 2004;61(2):59–64.
Kakodkar PV, Patil SV, Santosh K, Sn P, Vidayapeeth DD. The effect of short yoga intervention on the anxiety and comfort lel of dental patients reporting for extraction. International Scientific Yoga Journal Sense. 2016;6(6):6-13.

Gil- Abando Lozano, Gabriela
Máster en Periodoncia Avanzada Universidad Europea de Madrid. Estudiante de doctorado. Profesora del Departamento de Odontología Clínica de la Facultad de Ciencias Biomédicas. Universidad Europea de Madrid.
Muñoz Corcuera, Marta
Doctora en Odontología. Profesora titular. Departamento de Odontología Clínica de la Facultad de Ciencias Biomédicas de la Universidad Europea de Madrid.
Medina López- Chicheri, Paula
Máster en Periodoncia Avanzada Universidad Europea de Madrid. Estudiante de Doctorado. Profesora del Departamento de Odontología Clínica de la Facultad de Ciencias Biomédicas. Universidad Europea de Madrid.
Vizoso Noval, Beatriz
Doctora en Odontología. Profesora coordinadora del Departamento de Odontología Clínica de la Facultad de Ciencias Biomédicas de la Universidad Europea de Madrid.








